
말레이시아 세티아 에코힐 국제학교

최근 한국인이 많이 없으면서, 생활권도 편리하고, 학비도 저렴한 국제학교를 희망하시는 학부모님들이 많습니다. 사실 한국인이 적으면서 가성비가 좋은 국제학교를 찾기가 힘들기 때문에 추천드릴 수 있는 학교가 많이 없는것이 사실이지만, 텐비 세티아 에코힐 캠퍼스는 가성비가 좋으면서 한국학생이 많지 않아 소개해 드리려고 합니다. 텐비국제학교는 ISP라는 전 세계적 국제학교 네트워크 그룹에 속해 있으며 페낭을 포함해 말레이시아 전역 6곳에 캠퍼스를 두고있습니다. 그중 쿠알라룸프에 위치하고 있는 텐비 국제학교는 3곳으로 세티아 에코파크, 트로피카나 아만, 세티아 에코힐이 있습니다.
세티아 에코 힐은 쿠알라룸프르 변두리에에 새로 개발된 지역에 위치하고 있으며, 주변에 주택단지 & 아파트들이 있어 동반 유학시에 주변에서 집을 구하시기 용이한 환경에 있습니다. 또한 세티아 에코파크 캠퍼스에 비해 한국인 학생들이 아직 많지 않아 영어를 익히기 좋은 환경이라는 큰 장점이 있습니다. 텐비 국제학교는 캠퍼스마다 제공하고 있는 커리큘럼이 다르기 때문에 같은 텐비 학교이더라도 커리큘럼을 잘 살펴 보셔야 합니다. 세티아 에코 힐은 중학생가지는 ISGE,를 대입 과정은 A레벨을 커리큘럼으로 제공하고 있습니다.
텐비 국제학교 시설

예술, 미술, 체육, 코딩, 스피치 등 다양한 액티비티 제공하는 수영장과 농구, 테니스코트, 축구장, 강당, 도서관, 식당, 과학실, 음악실 등 모든 시설을 갖추고 있습니다. 텐비 에코힐 캠퍼스는 자연 친화적으로 디자인 되어 365일 푸릇푸릇한 모습을 볼 수 있습니다. 캠퍼스가 워낙 예쁘기 때문에 텐비 캠퍼스를 견학 하신 학부모,학생분들이 캠퍼스 분위기를 보고 많이 결정 하신다고 합니다.
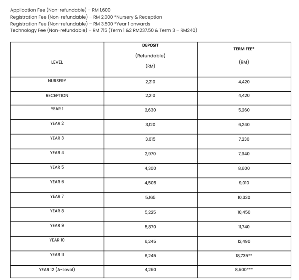
텐비 국제학교 학비

1년에 3학기 제도로 개강은 1월, 4월, 8월에 있습니다. 1년에 한화 약 460만원~1,620만원입니다.(학년별 격차) 가장 마지막 학년에도 천만원 초반대의 학비라 인기가 많은 국제학교입니다. 자세한 학비는 아래 학비 표를 참조해주시기 바랍니다.

유학은 플라잉촉스!
Flying Chalks는 아시아 전역에 사무소를 둔 수상 경력이 있는 글로벌 유학 전문 기업입니다. 18개국의 2,000개 학교와의 1:1 파트너십을 통해
유명 국제 학교와 유명 대학교를 포함하여 여러분께 숨겨진 비용 없이 보증금 (입학 후 전액 환불) 조건으로 무료로 서비스를 제공합니다!
저희의 서비스는 상담부터 대학 지원, 장학금 안내, 비자 안내 및 유학 지원을 포함하며, 입학 상담, 수속, 입국 절차, 현지 케어 까지 모두 무료로 제공되며, 해외 유학 경험이 많은 유학 전문가들로부터 지원을 받게 됩니다.
영미권 및 동남아 조기유학이나 대학유학을 고려하고 계신다면, 자신 있게 Flying Chalks를 선택하시길 추천합니다!
학위 프로그램, 혹은 해외 유학에 대한 더 많은 정보와 유학/입학 상담이 필요하시다면(아래 링크 클릭)
.png)
